- A+
德州扑克起手牌型概率

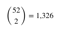
德州扑克游戏中每个玩家发两张手牌。第一张牌从52张牌中任选,第二张牌从余下51张牌中任选。
因为排列顺序在本游戏中没有意义,所以总数除以2。这样一手牌的组合总数一共有52*51/2 = 1,326种。这个计算过程也可以用二项式来书写,代表从52张牌中抽取两张牌的组合总数:

下表计算了在手对、同花高牌、不同花高牌三种情况下的概率:

三种起手牌型的概率
下表计算了具体不同手牌的概率。其中s代表同花(suited)。以AKs为例,出现的概率为4/1326 = 0.3% (一共有4种相同花色的同花AK)。

不同起手牌型的概率
任何一个玩家都有可能在短时间内连发好牌(意味着如果有人入池率很高/经常翻牌前加注,那长远来看他的手牌质量一定欠佳),但长久均摊之下都会无限趋向表中概率。高手总在牌局中获胜不是因为他们好运连连,而是因为他们更好的理解并利用了数学规律。
深刻理解这些简单的数学计算,是全面掌握组合学、范围概念,进而提升自己读牌技巧的重要基础。更多德扑技巧尽在https://www.moshike.com/

