- A+
德州扑克牌型概率
这个专题的内容信息量很大、也不太易于消化,但我们还是愿意用德扑爱好者的精神来解读和尊重德州扑克这项游戏。

「www.moshike.com」共有四篇内容:
1.牌型概率
2.人数对游戏的影响
3.扑克逻辑之起手牌
4.扑克数学之胜率计算
今天是第一篇——“牌型概率”。
牌型概率
人类在发明扑克很久以前就已经开始研究概率及博弈了。对于每个德州扑克新手,一定不会对牌型大小表陌生。一张典型的牌型表从上至下规定了游戏中不同牌型的大小。
但为什么他们这样排列?为什么同花比顺子大?恐怕这个问题困扰过无数新手。事实上这一切都有数学原理:

牌型与概率
从表格中我们可以看到,除去高牌之外,所有的牌型大小排列,均依据他们的发生概率(概率越小,牌型越大)。其中“总数”是在德州扑克游戏过程中,发出7张牌形成此种牌型的组合总数。此总数为精确值。概率和发生比为近似值(小数点后四舍五入)。
但这些总数究竟是怎么算出来的?下面给出牌型总数的推导过程。其中使用了非常简单的排列组合/二项式知识。
以下内容可能引起文科生不适,请谨慎下滑
皇家同花顺
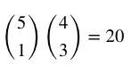
4种花色的(T-J-Q-K-A),还从剩下47张牌中任选两张:

同花顺(除去皇家同花顺)
每个同花顺由指定大小的一张牌决定,这些牌从5开始(A-2-3-4-5)到K(0-T-J-Q-K),一共9种,再加上四种不同花色。另外从46张牌中任选两张(除去会组合成皇家同花顺的A):

需要额外说明的是皇家同花顺只是同花顺的特殊形式,在规则中其实并没有必要额外写出。在此只是为了配合国内的规则讲解。
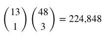
四条
13张不同大小的牌选出4张,再从另外48张牌中任选3张。需要注意的是由于4张同样大小不同花色的牌已经全部选出,所以无需重新计算不同花色了:

葫芦
7张牌中出现葫芦会有三种情况:
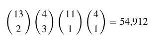
三条+一对+2张踢脚:

三条+两对

三条+三条+1张踢脚

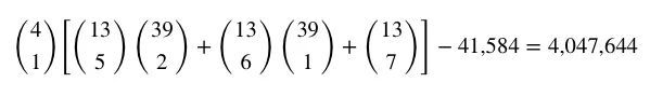
所以葫芦的总数一共有:
3,249,720+123,522+54,912 = 3,472,184
同花
7张牌中的同花可以由5张同花、6张同花和7张同花三种情况组成。在5张同花和6张同花时,额外的牌从其他花色中任意挑选。最后的总数再减去同花顺的总数(此处包含皇家同花顺): 
顺子
因为有可能和同花、三条、两对、一对同时发生,顺子的总数计算比较复杂,
所以计算过程必须分成不同的情况:
1) 7张不同大小的牌:
在不考虑花色的情况下,7张不同大小的牌,组成顺子一共有10种,其中A-K-Q-J-T只有1种,另外2张牌从余下8张牌(13-5)中任选,其余的顺子共有9种,另外两张牌从余下7张牌中任选2张(除去了顺子顶上的那张牌):

再考虑7张牌任选各自花色的组合总数:

这其中同花的总数计算分为三种情况:
7张牌全是相同花色;
6张相同花色,剩下1张从另外3种花色中任选;
5张相同花色,剩下2张从另外3种花色中任选:

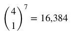
所以7张不同大小的牌任选花色,但又不计入同花的总数是:
16,384 - 844 = 15,540
最后,所以7张不同大小的牌任选花色组成顺子,但又不计入同花的总数是:
217(大小的组合)*15,540((花色的组合)) = 3,372,180
2) 6张不同大小的牌(出现一对):
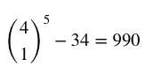
不考虑花色,只考虑大小时,顺子的总数有10种。其中A-K-Q-J-T一种,另两张牌从8张大小中选一张,其余的顺子共有9种,另外两张牌从余下7张牌中任选1张构成一对(除去了顺子顶上的那张牌):

现在计算凑成对子的不同组合。挑选之前6张不同大小中的任意1张组成一对考虑花色:

另外5张不同大小的牌的不同花色组合一共有:

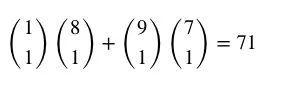
在这些组合里,同花的情况需要被减去。这5张牌的选择里可以有2种情况构成同花,一种是5张全是同花,另一种是5张里有4张相同花色,并和7张牌中的另外一对中的1张组成了同花。如果是前一种情况,4种花色4选1。如果是后一种情况,5张里选4张同花,另外一对(2张不同花色的牌)中选1张(此时花色是3选1):

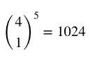
所以满足6张不同大小牌型的情况,但又不是同花的总数是:
1024 - 34 = 990
最后满足6张不同大小牌型的情况,并且构成顺子,但又不是同花的总数是:
71*36*990 = 2,530,440
3) 5张不同大小的牌(出现三条):
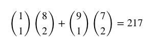
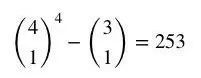
5张不同大小并且构成三条需要2步:首先在5张中选1张,让它组成三条(4个花色里选3个):

然后剩下4张牌,可以任意选择花色,但要减去其中有三种会和前面的三条凑成同花的情况:

所以顺子+三条但又不构成同花的情况一共有:
10*20*253 = 50,600
4) 5张不同大小的牌(出现两对):
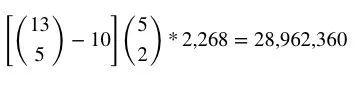
第二种5张不同大小的牌构成顺子,是两个两对与三张不同大小的牌。这里面有10种不同的牌型大小组合,但因为其中的两对可能有2、3、4种不同的花色,计算其中的同花比较复杂。首先,两对从5张不同大小的牌中选,所以可能的组合有:

这2个两对可以从4个花色中选2个:

这36个情况里,6种情况有2个花色,24种有3个花色,剩下4种情况有4个花色。需要注意的是剩下的3张牌里可能出现的花色组合是4*4*4。当这两对有2个花色时,剩下3张牌如果都和这2个花色一致,则会形成同花,这种情况有2种。当这两对有3个花色时,剩下3张牌如果都和其中的两对同花的花色一致,则会形成同花,这种情况有1种。当2个两对有4种花色时,不会产生同花。所以这些所有的并不形成同花的情况一共有:

所以所有5张不同大小的牌,形成顺子+两对的情况一共有:
10*10*2268 = 226,800
所以顺子的全部情况有:
3,372,180+2,530,440+50,600+226,800 = 6,180,020
三条
三条的组成必须包含5种不同的大小,(否则会形成四条、一对)。但5种不同大小的组合需要减去其中的10个顺子组合:

在5种不同大小的牌中,选一个成为三条的组合(从这里开始记入花色,但只计算三条的花色):

剩下的4张牌中,从4种花色中任选(大小已经在第一步中考虑过),并减去3种可能与三条凑成同花的情况:

所以三条的总数为:
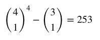
1,277*20*253 = 6,461,620
两对
两对可以由两种情况组成
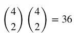
3个一对与1张踢脚。4张不同大小的牌,其中3张各自成为一对,有 种不同的花色组合,最后一张踢脚可以是任意花色:

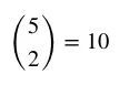
2个一对与3张踢脚。5种不同的大小减去10个顺子,其中2张各自成为一对,

一对
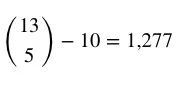
一对必须由6张不同大小的牌组成,但必须减去可能会形成顺子的情况。对于6张顺,一共有9种(从6到A,不考虑花色)。对于5张顺,当顺子不管是从5开始还是到A结束,剩下的牌必须从剩下8张里选择,减去凑成两端顺的牌(6和9)。在其他任何8种情况,剩下的牌可以从任何其他8张牌中选,减去两端顺中任意一端的那张。所以,这样的组合中不凑程顺子的情况一共有:

一共有 的方法来选择踢脚,而且对于6张不同大小的牌,共有34种可能会出现同花的组合,所以这些组合中不凑成同花的总数是:

在这6张不同大小的牌中我们任选1张构成两对,这个两对的花色可以任选,所以两对的组合一共有:

所以一对的总数有:
1645*990*36 = 58,627,800
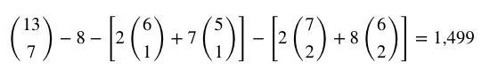
高牌
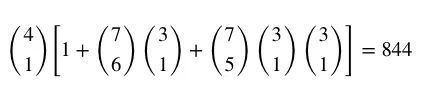
首先考虑大小。七张不同大小的牌任意组合,减去会构成顺子的组合。7张顺有8种情况(从7开始,到A结束)。6张顺的计算我们在上面5张顺+一对的情况看过,剩余1张大小的牌从5张顺的上下两端中任选(6种大小),加上剩余的大小减去2个(一共5种)。5张顺的计算和一对一样,但是要选择2张牌而不是1张牌。所以这种大小组合但又不构成顺子的总数是:

再考虑花色。在任选7张花色的所有组合里,一共有844种同花的可能。所以所有的组合减去构成同花的情况一共有:

所以高牌的总数一共有:
1,499*15,540 = 23,294,460
不管是好奇还是真读到了底部,我们都敬你是条汉子。

